首页
走近我们
技术支持
产品中心
服务理念
合作与代理
诚聘英才
联系我们
返回首页
|
网站地图
|
联系我们
首 页
走近我们
公司简介
企业文化
公司规模
技术支持
技术支持
产品中心
蒸汽减温减压器
电动温控阀
电动调节阀
西门子电动阀
电动减压阀
电动压差阀
电动蝶阀
西门子控制器
西门子传感器
西门子执行器
服务理念
服务理念
服务内容
合作与代理
代理品牌介绍
诚招合作伙伴
诚聘英才
联系我们
产品中心
Product
蒸汽减温减压器
电动温控阀
电动调节阀
西门子三通调节阀
西门子二通调节阀
西门子三通调节阀
西门子二调节阀
西门子三通调节阀
西门子二通调节阀
西门子三通调节阀VXF61.92
西门子三通调节阀VXF61.91
更多
西门子电动阀
电动减压阀
电动压差阀
电动蝶阀
西门子控制器
西门子传感器
西门子执行器
您现在的位置:
首页
-
产品中心
-
电动调节阀
电动调节阀
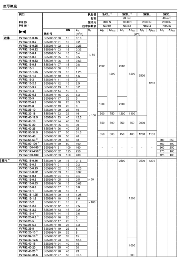
产品名称:
西门子三通调节阀
产品型号:
VXF53.系列
产品简介:
用于锅炉,区域供热和制冷设备,冷却塔,加热机组和空调机组中作为控制或截止阀门
适用于闭式或开式管路系统(注意避免气蚀)
详细介绍
相关产品
西门子三通调节阀
西门子二通调节阀
西门子三通调节阀
西门子二调节阀
top
QQ客服
13969068778
微信平台